Bülten Aboneliği

Güncel bültenlerden haberdar olmak için abone olunuz.

Bülten Kayıt Formu

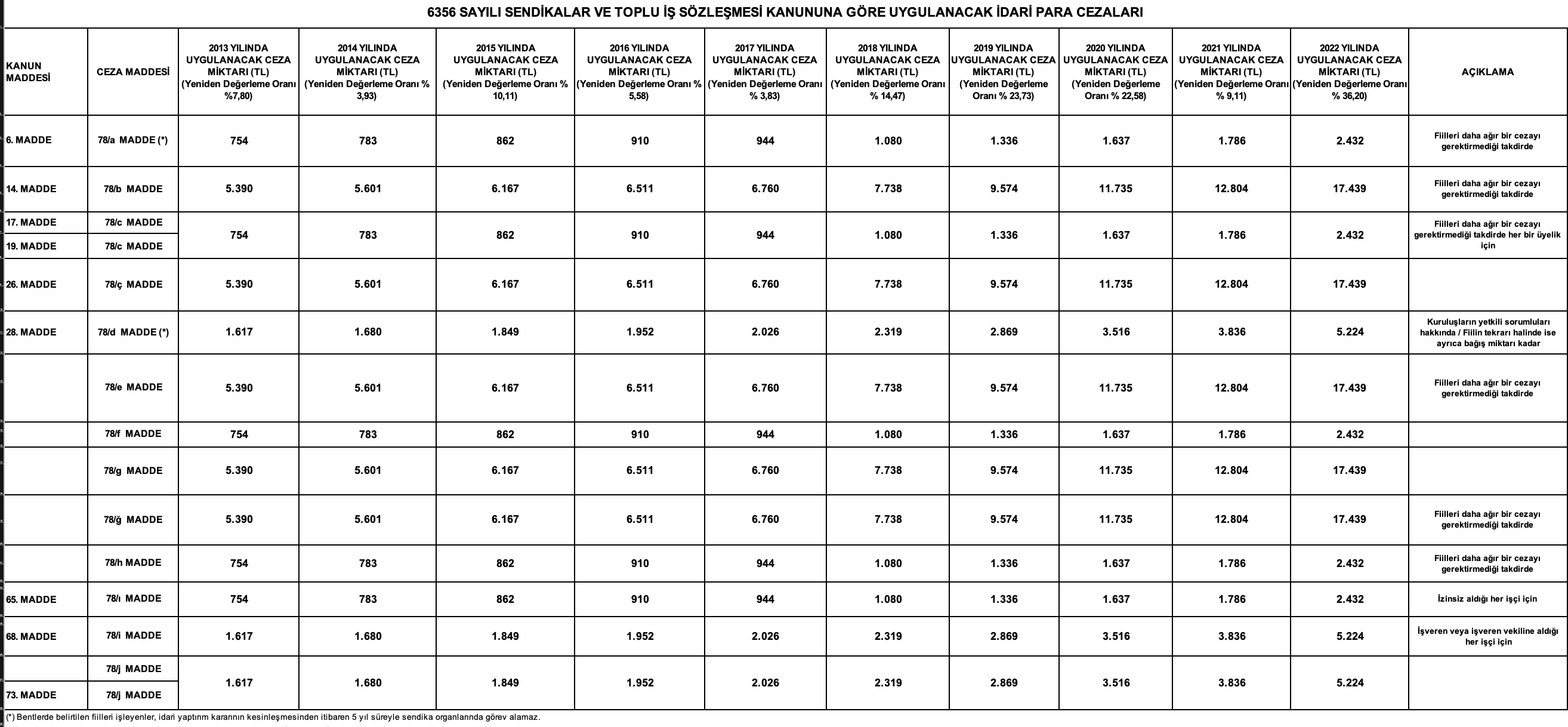
2022 İdari Para Cezaları - 12 Ocak 2022


2022 İdari Para Cezaları

 

  • Uygulanan idari para cezaları, her yıl yeniden değerleme oranı ile güncellenmektedir.

 

  • 2022 yılı için bu değer %36,20 olup, mail ekimizde uygulanacak idari para cezalarına ilişkin güncel tutarlar yer almaktadır.

 

  • Sosyal güvenlik yönünden idari para cezaları asgari ücrete endeksli olduğundan %40 oranında artış göstermiştir.

 







Dökümanı İndir